中国经济网350vip葡亰集团4月29日讯 昨晚,苏农银行(603323.SH)公布的年报显示,2020年完成营业支出37.53亿元,同比增长6.59%;归属于上市公司股东的净利润9.51亿元,同比增长4.19%;归属于上市公司股东的扣除非经常性损益的净利润9.26亿元,同比增长2.54%。

2020年,苏农银行加权均匀净资产收益率8.07%,同比减少0.37个百分点;扣除非经常性损益后的加权均匀净资产收益率7.86%,同比减少0.48个百分点。

苏农银行2020年度利润分配预案为:以本次分红派息股权登记日的公司总股本为基数,向全体股东每10股(每股人民币1元)派发现金红利1.5元(含税)。若以2020年12月31日,公司总股本18.03亿股为基数,估计将派发现金红利2.70亿元。

2020年末,苏农银行资产总额1394.40亿元,比年终添加134.85亿元,增长10.71%;存款余额1067.25亿元,比年终添加107.69亿元,增长11.22%;贷款总额785.59亿元,比年终添加103.28亿元,增长15.14%。
2020年末,苏农银行负债总额1273.00亿元,同比增长11.34%,存款总额1067.25亿元,同比增长11.22%,其中活期存款占比47.04%,较上年末提升1.43个百分点。

2020年,苏农银行利息净支出30.03亿元,同比增长2.44%;非利息净支出7.50亿元,同比增长27.23%。

2020年,苏农银行信誉减值损失14.25亿元,上年同期为12.70亿元,增长率为12.25%。

2020年末,苏农银行不良贷款余额10.09亿元,不良贷款率1.28%,较年终下降0.05个百分点,逾期60天以上贷款占不良贷款比例34.15%,较年终下降25.48个百分点,拨备覆盖率305.31%,较年终提升55.99个百分点。

2020年末,苏农银行资本充足率13.53%,较上年末下降1.14个百分点;一级资本充足率11.38%,较上年末下降0.79个百分点;核心一级资本充足率11.38%,较上年末下降0.79个百分点。

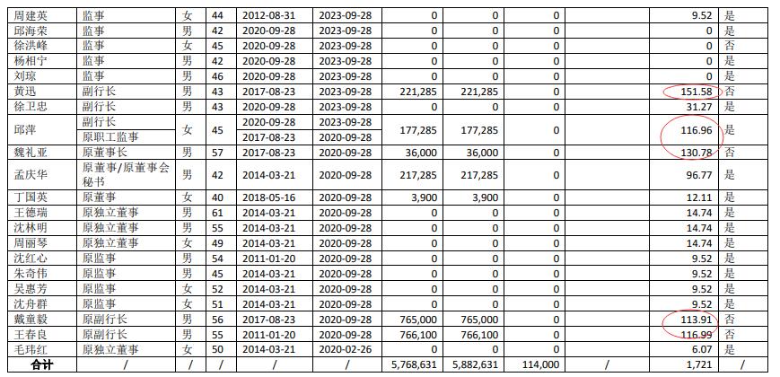
现任及报告期内离任董事、监事和高级管理人员报告期内从苏农银行获得的税前报酬总额为1721万元。
其中,9名董监高年薪超百万元,分别为:董事/行长庄颖杰170.38万元;董事/副行长王明华154.43万元;董事/副行长张亚勤146.87万元;监事长吴大刚152.17万元;副行长黄迅151.58万元;副行长、原职工监事邱萍116.96万元;原董事长魏礼亚130.78万元;原副行长戴童毅113.91万元;原副行长王春良116.99万元。


2020年末,苏农银行在职员工的数量合计1829人。在职员工中,博硕士研讨生204人,350vip葡亰集团本科1302人,350vip葡亰集团专科272人,350vip葡亰集团专科以下51人。

2020年,苏农银行应付职工薪酬期末余额为3.79亿元,期初余额为3.94亿元。
2020年,苏农银行领取给职工及为职工领取的现金为7.54亿元,上年同期为7.43亿元。
据中国经济网记者计算,2020年,苏农银行员工年度薪酬福利总额为7.39亿元,按照在职员工人数计算,人均薪酬福利为40.39万元。
同日,苏农银行还公布了2021年一季报。今年一季度,该行完成营业支出为9.19亿元,同比减少0.82%;归属于上市公司股东的净利润2.54亿元,同比增长4.78%;归属于上市公司股东的扣除非经常性损益的净利润2.54亿元,同比增长3.85%;加权均匀净资产收益率2.08%,与上年持平。

今年一季度,苏农银行信誉减值损失3.09亿元,上年同期为3.45亿元。

截至一季度末,苏农银行资产总计1428.21亿元,负债合计1303.36亿元。

一季度末,苏农银行不良贷款10.09亿元;不良贷款率为1.25%,较去年末下降0.03个百分点;拨备覆盖率319.41%,较去年上升14.1个百分点。

一季度末,苏农银行资本充足率12.69%,一级资本充足率10.65%,核心一级资本充足率10.65%。
