中国经济网350vip葡亰集团8月5日讯 (记者 康博) 虽然从年终开始,多数投资者都降低了今年A股的盈利预期,但从前7月全体表现看,专注于权益市场的普通股票型基金依然呈现了多数下跌的格局。
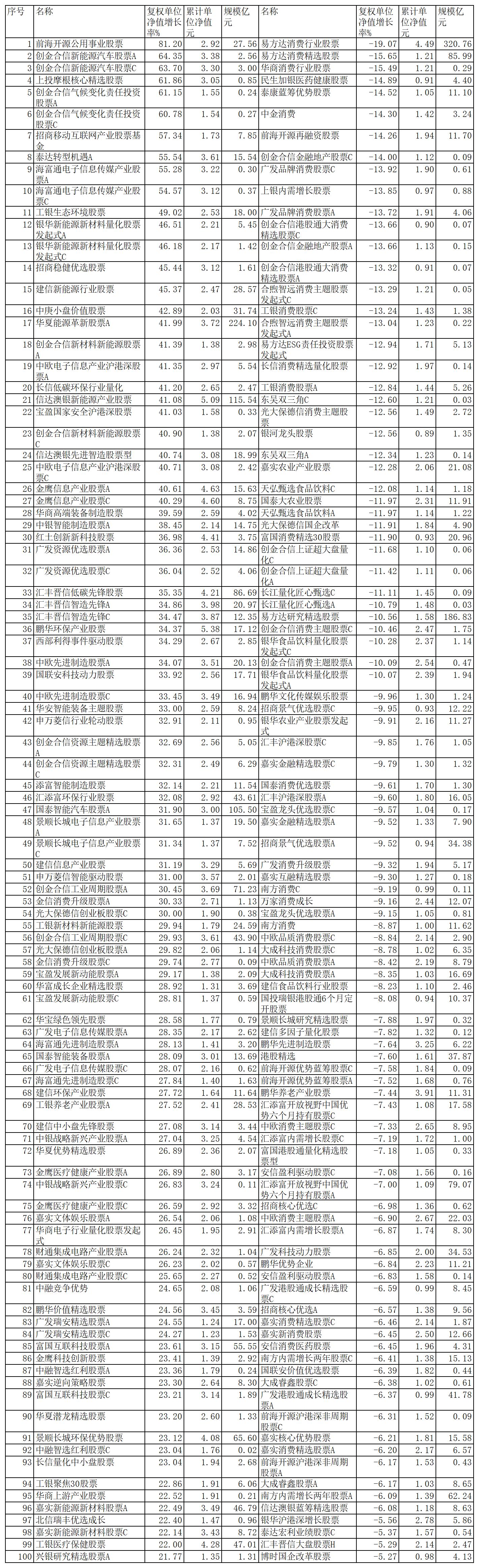
统计显示,在有可比数据的540只基金中,截至今年7月31日开盘,有373只业绩下跌,占比69%,其中有10只基金涨幅超过50%,可谓获利丰厚,而涨幅超过20%的更是多达121只。
从涨幅榜看,重仓新动力行业股票的基金成为涨幅明星,如前?垂檬乱倒善、创金合信新动力350vip葡亰集团股票A、创金合信新动力350vip葡亰集团股票C、上投摩根核心精选股票、创金合信气候变化责任投资股票A、创金合信气候变化责任投资股票C,这些基金前7月涨幅都在60%以上。以上投摩根核心精。005983)为例,二季度前十大重仓股为350vip葡亰集团股份、华友钴业、亿纬锂能、晶澳科技、隆基股份、星源材质、宁德时代、东方350vip葡亰集团、锦浪科技、北方华创,前7月下跌了61.86%,其中二季度的涨幅就达20.86%。而在一季度时,该基金的前十大重仓股还是以家居、电影为主,如兔宝宝、喜临门、奥佳华、大华股份、索菲亚、万达电影。
这种精准的风格转换也凸显出基金经理的才能,该基金目前由李博和赵隆隆管理,其中李博有着近7年的公募管理经验,其在二季报中表示,全体看 2021年经济复苏确定性强,周期股有很强的阶段性机会,但中长期来看,在经济增速逐渐趋缓背景下,科技、消费等行业才是长期机会所在。我们以为在经历春节后龙头白马估值的全体杀跌后,市场正再次从寻觅各板块高性价比标的策略逐渐转向寻觅更符合将来社会350vip葡亰集团的真成长板块的投资策略。
将来,李博将继续重点关注“双碳”目标带来的新动力(新动力车+光伏)的机会,关注经济转型过程中的制造业晋级、供应链产业链自主可控机会(半导体等)。
李博引见,首先,全球新动力350vip葡亰集团销量在经历 2020年仅欧洲需求迸发后,2021年将迎来中、欧、美三大市场需求共振阶段,电动车浸透率将加速提升,从产业链竞争优势国际比较的角度规划。其次,国家“双碳”背景下“构建以新动力为主体的新型350vip葡亰集团零碎”的定调将深入改变中国将来四十年的动力格局,以光伏为代表的可再生动力以及储能将迎来较好的350vip葡亰集团阶段,长期需求的成长性将远大于短期供需婚配的周期性,看好各环节最具技术成本优势的企业。最后,制造业晋级、供应链产业链自主可控意义突出,优选今明两年全球晶圆代工行业确定性资本扩张带来的半导体相关细分板块机会。同时,关注符合社会新趋向的消费、医药等领域机会。
此外,招商移动互联网产业(001404)也很具有代表性,其二季度前十大重仓股为雅克科技、芯源微、北方华创、中微公司、兆易创新、思瑞浦、彤程新材、卓胜微、万业企业、中科创达,行业以半导体设备、芯片、软件为主,这一风格也是一季度的延续。数据显示,今年春节后的调整让该基金在一季度净值下跌了13.54%,但二季度就大涨了40.28%,7月份半导体板块更是大涨,让其在前7月涨幅扩大到了57.34%。
该基金的管理者张林异样是具有超过6年公募管理经验的基金经理,张林在二季度中表示,展望后市,虽然将来1年多整个半导体行业供给偏紧的状况照旧会维持,但是考虑到跌价环节的股票曾经有较大的涨幅,该板块将不会是重点配置方向。“将来一段工夫,本基金会持续重点配置与国产替代相关的设备和材料公司、智能驾驶以及物联网等相关领域。”
令人唏嘘的是,曾经备受投资者追捧的大消费板块,今年却遭到厌弃,导致众多消费主题基金在前7个月里出现亏损。从业绩看,跌幅超过10%的共有39只,而跌幅在13%以上的基金几乎全是消费与医药主题基金,最大跌幅为19.07%。
民生加银医药健康、泰康蓝筹优势、中金消费晋级的跌幅分别为14.89%、14.52%、14.30%,其中的泰康蓝筹优势二季度次要持有白酒股;中金消费晋级重仓白酒和医药股。
前?丛偃谧使善敝夭旨业、银行、地产,在今年前7月业绩下跌了14.26%,创金合信金融地产股票C二季度前十大重仓股几乎全是银行,这样的操作让其业绩下跌达14.00%。
对于目前火爆的新动力行业,长城基金研讨部新动力行业研讨员杨宇表示,从新动力350vip葡亰集团行业基本面的角度看,终端销售数据超预期,浸透率持续提升趋向良好,同时产业链排产非:,给出来的将来的扩产预期也非:,显示景气度很高,各环节利润都有大幅增长预期。因此,新动力板块内的新动力350vip葡亰集团产业链是涨得最好的,这是行业基本面决定的。但假如看将来一年的话,其更看好光伏,由于光伏是从低景气往高景气走的过程,空间更大。
博时基金周心鹏以为,由于过去几年市场的结构分化,目前中小市值优质公司估值依然处于较有吸引力的区间,而大市值股票估值具有明显风险。中小市值优质成长股依然存在一定程度的低估,其行情尚未结束。交银施罗德基金的杨金金也以为,正好像大盘蓝筹股的价值发现历经了五年工夫一样,此轮低估中小盘成长股的价值发现或也才刚刚开始。
而中欧基金曹名长则表示:“市场短期是投票机,长期是称重机,市场短期的判别其实并不那么重要,重要的是我们能不能选出估值低或者合理(有安全边际),而将来很长工夫又有业绩增长的公司。” 曹名长以为,将来一年,低估值资产的价值回归将会逐渐表现。
前7月普通股票型基金涨跌幅前100名一览

来源:同花顺(规模截止日期:2021年6月30日)