中国经济网350vip葡亰集团7月5日讯 (记者 李荣 康博) 6月份海外股市风格渐变,QDII基金排行榜也随之发生较大变动,此前领涨的原油及大宗商品类基金偃旗息鼓,而调整了较长一段工夫的港股迎来反弹,相关基金登下跌幅榜前列。
根据记者统计,剔除净值异常基金及今年6月至今新成立的QDII基金后,全市场有可比业绩的395只QDII基金中,6月份除2只基金净值收平外,共有175只基金完成净值下跌,占比44.3%;有218只基金净值下跌,占比55.2%。
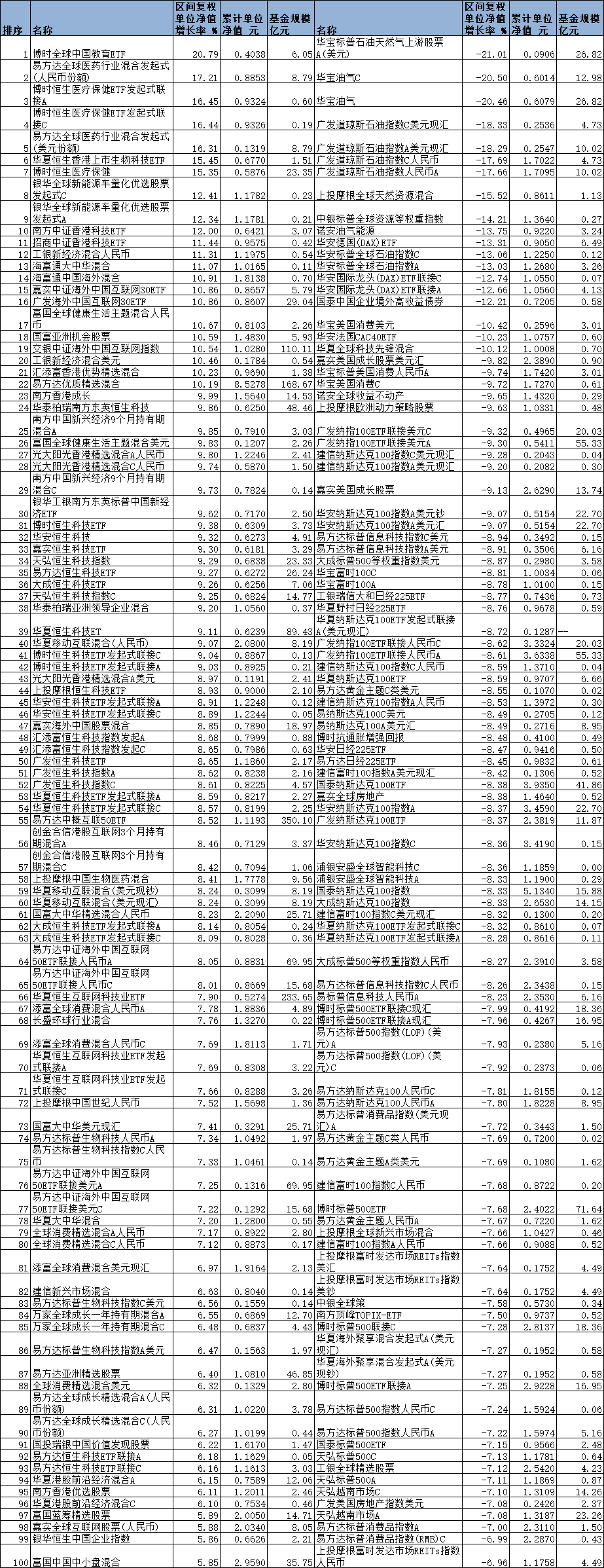
6月港股行情回暖,恒生指数累计下跌2.08%,恒生中国企业指数涨3.37%,恒生科技指数涨8.62%。受益于港股的反弹,部分主投港股市场的QDII基金在6月份表现较好,涨幅榜前十名中,一半以上均为主投港股的QDII基金。
具体来看,港股教育板块在6月份涨幅颇多。其中,此前因“双减”而股价受挫的教培龙头股新东方,近期仰仗直播品牌“东方甄选”双语直播而快速破圈,新东方在线(01797.HK)6月份股价大幅下跌409.19%,新东方-S(09901.HK)6月份涨幅也达49.25%。
在此背景下,博时全球中国教育ETF也终于迎来曙光,6月份成功夺得QDII基金涨幅榜冠军,单月涨幅达20.79%。截至今年一季度末,该ETF的第一大重仓股正是新东方,而中公教育好将来等教培类个股也在其重仓股行列。
博时全球中国教育ETF的基金经理万琼表示,目前高教板块估值仍处历史低位,伴随后续营利性选择的落地以及职教体系建设的更多细化政策出台,板块估值有望迎来持续性修复;在就业困难背景下,职业培训和学历提升需求有望大幅添加,伴随疫情后复工复产的推进,业绩有望快速恢复;至于教培,次要头部教培公司在剥离K9学科类业务后,目前均已基本完成业务调整,新业务也渐有起色。
同时,万琼也提示投资者,教育板块股价的反弹次要是基本面叠加利好政策出台,估值迎来修复,后续还需求看公司的盈利状况,建议投资者坚持定期定投,逢低建仓,留意止盈止损。
6月份涨幅在10%至20%之间的QDII基金共21只,值得关注的是,多只生物医药类基金业绩表现较佳,涨幅榜第二至第七名均为该类种类,易方达全球医药行业混合发起式(人民币份额)、博时恒生医疗保健ETF发起式联接A、博时恒生医疗保健ETF发起式联接C、易方达全球医药行业混合发起式(美元份额)、华夏恒生香港上市生物科技ETF、博时恒生医疗保健分别涨17.21%、16.45%、16.44%、16.31%、15.45%、15.35%。
其中,博时恒生医疗保健及博时恒生医疗保健ETF发起式联接A、博时恒生医疗保健ETF发起式联接C也均为万琼管理,跟踪标的为恒生医疗保健指数。华夏恒生香港上市生物科技ETF由赵宗庭管理,跟踪标的为恒生香港上市生物科技指数。
易方达全球医药行业混合发起式(人民币份额)、易方达全球医药行业混合发起式(美元份额)则坚持投资在境内外上市的中国本土医药公司或者其业务与中国市场密切相关的全球医药公司,截至一季度末,其前十大重仓股分别是STAAR、荣昌生物-B、信达生物、诺诚健华-B、石药350vip葡亰集团350vip葡亰集团350vip葡亰集团集团、天境生物、南微医学、康诺亚-B、固生堂、科济药业-B。
新动力板块自4月末触底后强势下行,银华基金旗下的银华全球新动力车量化优选股票发起式A、银华全球新动力车量化优选股票发起式C也在刚刚过去的6月份里涨12.34%、12.41%。不过,由于其为今年4月份成立的次新基金,截至目前暂未披露过季报,故无法查阅其具体持股状况。
此外,6月份涨幅超过10%的QDII基金还包括北方中证香港科技ETF、招商中证香港科技ETF、工银新经济混合人民币、海富通大中华混合、海富通中国海外混合、嘉实中证海外中国互联网30ETF、广发海外中国互联网30ETF、富国全球健康生活主题混合人民币、国富亚洲机会股票、交银中证海外中国互联网指数、工银新经济混合美元、汇添富香港优势精选混合、易方达优质精选混合。
反观跌幅榜,此前连续多个月保持领涨地位的原油及大宗商品主题类基金在6月份偃旗息鼓,成为领跌种类。据统计,6月份共计19只QDII基金跌幅超过10%,其中一半以上是原油及大宗商品主题类基金。
究其缘由,6月中旬以来,布伦特原油价格连续下跌,6月份纽约期油与布伦特期油分别跌近8%与11%。有业内人士称,原油基金由涨入跌,次要是遭到国际油价见顶回调的影响。
另外,多只跟踪欧美地区国家次要指数的QDII基金也遭遇下跌,诸如跟踪法兰克福DAX指数、法国CAC40指数、纳斯达克100指数、伦敦富时100指数等。
2022年6月份QDII基金涨跌幅前100名

数据来源:同花顺(规模截止日期:2022年3月31日)